Weight Of Evidence Formula. The basic property of weight of evidence can be expressed in words thus. 01 500 01 23. K Col Y0 b. It is widely used In credit scoring to measure the separation of good vs bad customersvariables.
Weight of evidence also known as WoE or WofE when measuring evidence on more than one side of an issue is a measure of evidence on one of those sides versus the evidence on the other side. K Col Y0 b. Force probante des données prise en compte des forces et des faiblesses de divers éléments dinformation en vue daboutir à une conclusion concernant le danger potentiel dune substance et. No need for dummy variables by using proper binning technique it can establish. If ties are present. Weight of evidence WOE is a measure of how much the evidence supports or undermines a hypothesis.
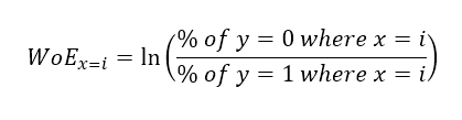
Information Value IV and Weight of Evidence WOE Finally component of IV for this group is -0057 -0553 00318.
Further WOE ln 00780135 -0553. A systematic review of the scientific literature was undertaken to characterize the. K Y 1 G. Information Value IV and Weight of Evidence WOE Finally component of IV for this group is -0057 -0553 00318. Weight-of-evidence The process of considering the strengths and weaknesses of various pieces of information in reaching and supporting a conclusion concerning the hazard potential of a substance. Weight of Evidence Transformation for Binary Logistic Regression.